Scorpio Minings Oberflächenbohrungen auf Santa Teresa stoßen auf mineralisierte Abschnitte
Vancouver, 30. Mai 2007. Scorpio Mining Corp. (TSX: SPM, WKN: 121 237) freut sich, die ersten Ergebnisse der Oberflächenbohrungen auf der Santa Teresa Lagerstätte sowie Ergebnisse der unterirdischen Bohrungen von Ebene 10 der Nuestra Senora Lagerstätte bekanntgeben zu können. Diese Bohrungen zielten auf die Sept 9 Zone und folgten auf die jüngst entdeckte Tiefenerweiterung von Santa Teresa. Die Mineralisierung der Santa Teresa Lagerstätte tritt auf Flussniveau zutage, ca. 150 m nordöstlich von Santo Domingo und 250 m östlich der Nuestra Senora Lagerstätten, die beide auch auf Flussniveau aufschließen. Die Candelaria Lagerstätte tritt am Hang der Schlucht ebenfalls an die Oberfläche, 150 m über dem Flussniveau zwischen Santa Teresa und Nuestra Senora.
Santa Teresa wurde kaum abgebaut. Nur ungefähr 20.000 t mineralisiertes Material wurden aus einer Grube an der Oberfläche entnommen. Die Mineralisierung besteht aus körnigem Bleiglanz, Sphalerit, Pyrit und verstreutem Chalkopyrit in einer Skarnmatrix aus Quarz, Epidot, Pargasit, Tremolit und Grossularit-Granaten. Es gibt keine Belege, daß ASARCO irgendwelche Bohrungen auf der Lagerstätte durchgeführt hat. Die Geologie und Mineralogie ist ähnlich der Hoag Zone, die zwischen den Ebenen 8 und 11 in der Nuestra Senora Lagerstätte liegt.
Peter J. Hawley, Chairman und CEO, hierzu: ´´Die ersten Oberflächenbohrungen von der Santa Teresa Lagerstätte bestanden aus 8 Bohrungen, die von einer Bohrstelle aus mit unterschiedlichem Azimut und verschiedenen Neigungen niedergebracht wurden, um den Umfang der Mineralisierung zu testen. Diese Daten haben ein dreidimensionales Modell vom Körper und dem Verlauf der Tiefenerweiterung, die von den Ebenen 6 bis 10 der Nuestra Senora Lagerstätte aus gebohrt werden wird, ermöglicht. Gegenwärtig haben neun weitere Oberflächenbohrungen den Körper von 5 Bohrplattformen aus getestet. Die Ergebnisse hier stehen noch aus.
Untergrundbohrungen, die auf die Sept 9 Zone zielen, verlaufen weiter erfolgreich und vergrößern die Ressourcen dieser Zone. Die unterirdischen Bohrabschnitte sind ca. 200 m unter den Oberflächenbohrabschnitten von Santa Teresa. Das Unternehmen ist vom Umfang des mineralisierten Systems weiter beeindruckt. Seit dem Beginn der Exploration auf dem Nuestra Senora Projekt hatte das Unternehmen Erfolg bei der Definition von Nuestra Senora, Candelaria, Santa Teresa, Hoag, Sept 9, Main South und Main North Zonen. Die letzten vier davon sind neue Entdeckungen
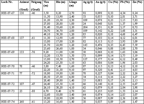
Tabelle 1: Ergebnisse der Oberflächenbohrungen - Santa Teresa Lagerstätte

Tabelle 2: Untergrundbohrungen - Ebene 10 und Rampe

Die Bohrdaten in der Tabelle stellen senkrechte Kernlängen und ungeschnittene Gehalte dar. Die wahren Breiten können zu diesem Zeitpunkt nicht verläßlich geschätzt werden. Pläne und Schnittdarstellungen der Oberflächenbohrungen auf der Santa Teresa Lagerstätte sind auf der Webseite von Scorpio Mining unter www.scorpiomining.com/s/NuestraSenora.asp verfügbar.
Roger Scammel, Präsident der Scorpio Mining Corporation, ist die qualifizierte Person des Unternehmens für das Nuestra Senora Projekt. Herr Scammel ist verantwortlich für die laufende Exploration, das Entwicklungsprogramm und hat den Inhalt dieser Meldung überprüft. Alle technischen Informationen über das Nuestra Senora Projekt werden unter Beachtung des Qualitätskontrollprogramms (UA/QC) veröffentlicht. Die Proben wurden an die ALS Chemex Laboratorien in Hermosillo, Mexiko, zum Trocknen, Mahlen und Pulverisieren geschickt. ALS Chemex aus Hermosillo schickt das Pulver dann per Luftpost zu ALS Chemex in Vancouver, wo genaue Untersuchungen vorgenommen werden. Systematische Auswertungen von Standards und Leerkernen werden zur Sicherstellung der Präzision und Genauigkeit vorgenommen. Kontrollauswertungen werden regelmäßig von SGS Lakefield Research vorgenommen. Details des QA/QC Programms sind auf der Internetseite des Unternehmens verfügbar.
Im Namen der Scorpio Mining Corp.
Peter J. Hawley
Chairman & CEO
Für den Inhalt der Pressemeldung ist allein die Gesellschaft verantwortlich. Sie wurde weder von der TSX-Venture Exchange, noch von einem Dritten geprüft. Die deutschsprachige Fassung kann gekürzt oder zusammengefasst sein. Es wird keine Verantwortung oder Haftung: für den Inhalt, für die Richtigkeit, der Angemessenheit oder der Genauigkeit dieser Übersetzung übernommen. Aus Sicht des Übersetzers stellt die Meldung keine Kauf- oder Verkaufsempfehlung dar! Bitte beachten sie die englische Originalmeldung auf www.sedar.com bzw. www.sec.gov oder auf der Firmenwebsite! (zur Meldung)
Weitere Informationen erhalten Sie bei:
Scorpio Mining Corporation
Suite 920 - 475 Howe Street
Vancouver, B.C., V6C 2B3
Telefon: (604) 678 - 9639
Fax: (604) 602 - 9640
www.scorpiomining.com
scorpio@scorpiomining.com





