Scorpio Mining Corp. meldet gute Bohrergebnisse von der Santa Teresa Lagerstätte
Scorpios Untergrundbohrungen auf der Santa Teresa Lagerstätte erbringen über 32,8 m 324 g/t Silber, 5,32% Zink, 0,30% Kupfer, 1,45% Blei und über 10,1 m mit 0,085 g/t Gold, 269 g/t Silber, 7,04% Zink, 0,46% Kupfer, 7,26% Blei und 0,086 g/t Gold Vancouver, 16. Januar 2008. Scorpio Mining Corp. (TSX: SPM, WKN: 121 237) freut sich, die ersten Untergrundbohrergebnisse mit Ziel auf den Santa Teresa Erzkörper bekanntgeben zu können. Die Bohrungen gingen von Ebene 9 der Rampe von Nuesta Senora auf dem zu 100% im Eigentum befindlichen Nuestra Senora Projekt, mexikanischer Bundesstaat Sinaloa, aus.
Die Mineralisierung von Santa Teresa tritt auf Flußniveau zutage und liegt ca. 150 m nordöstlich der Santo Domingo und 250 m östlich der Nuesta Senora Lagerstätte, die beide ebenfalls auf Flußniveau aufschließen. Die Candelaria Lagerstätte tritt im Tal, ca. 150 m über dem Flußniveau zwischen Santa Teresa und Nuesta Senora zutage.
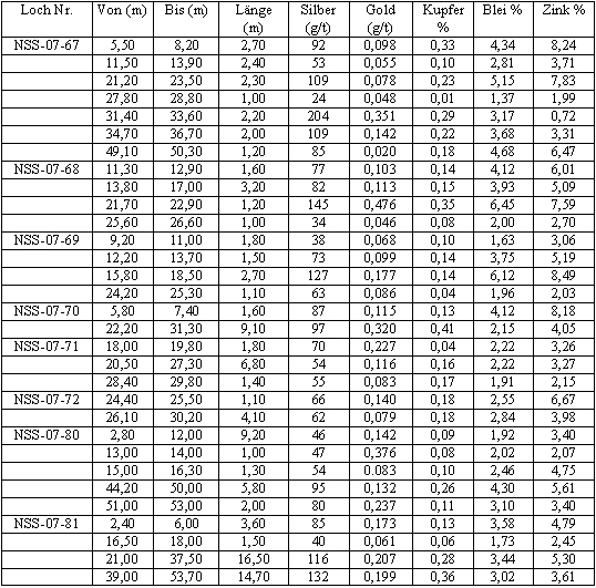
Peter J. Hawley, Chairman und CEO, kommentiert: “Die zuvor berichteten Oberflächenbohrungen der Santa Teresa Lagerstätte (vgl. Pressemeldungen vom 30. Mai 2007 und 27. Juni 2007) gingen von einem Bohrplatz mit unterschiedlichen Azimuts und Neigungen aus, um die vorläufige Ausdehnung der Mineralisierung abzugrenzen und als Anleitung der Untergrundbohrungen zu dienen. Oberflächenbohrung NS-07-81 schnitt 16,5 m mit 116 g/t Silber, 5,30% Zink, 0,28% Kupfer, 3,44% Blei und 0,207 g/t Gold, gefolgt von 14,7 m mit 132 g/t Silber, 3,61% Zink, 0,36% Kupfer, 3,02% Blei und 0,199 g/t Gold“.
„Die heute berichteten Ergebnisse liegen ca. 180 m vertikal unter der Oberfläche und wurden horizontal von Ebene 9 aus gebohrt. Die geschnittene Mineralisierung liegt nur 17 m von der Transportrampe entfernt und kann leicht für die Extraktion erreicht werden. Das Explorationsteam ist über die erhaltenen Ergebnisse sehr erfreut und fokussiert sich auf Folgebohrungen in den unterschiedlichen Ebenen, was auf dreidimensionalen Modellierungen der mineralisierten Zone basiert.“
“Das Unternehmen hat seinen Fokus weiter auf der Definition der bekannten mineralisierten Körper und deren Einbringung in einen integrierten Minen-Extraktionsplan. Währenddessen wird erfolgreich in die Tiefe und an der Peripherie dieser Körper exploriert. Basierend auf den anfänglichen Ergebnissen kann Santa Teresa eine ähnliche Größe und Gehalt wie die Hoag Zone haben, die derzeit extrahiert wird.“
Tabelle 1: Zuvor berichtete Oberflächen Bohrergebnisse Santa Teresa

Tabelle 2: Untergrund-Bohrergebnisse Ebene 9 - Santa Teresa

Die Bohrdaten in der Tabelle stellen senkrechte Kernlängen und ungeschnittene Gehalte dar. Die wahren Breiten können zu diesem Zeitpunkt nicht verläßlich geschätzt werden. Weitere Informationen über das Unternehmen und das Nuestra Senora Projekt sind auf der Webseite von Scorpio Mining unter www.scorpiomining.com verfügbar.
Roger Scammel, Präsident der Scorpio Mining Corporation, ist die qualifizierte Person des Unternehmens für das Nuestra Senora Projekt. Herr Scammel ist verantwortlich für die laufende Explorations- und Entwicklungsprogramm und hat den Inhalt dieser Meldung überprüft. Alle technischen Informationen über das Nuestra Senora Projekt werden unter Beachtung des Qualitätssicherungs- und -kontrollprogramms (UA/QC) veröffentlicht. Die Proben wurden an die ALS Chemex Laboratorien in Hermosillo, Mexiko, zum Trocknen, Mahlen und Pulverisieren geschickt. ALS Chemex aus Hermosillo schickt das Pulver dann per Luftpost zu ALS Chemex in Vancouver zur Auswertung. Systematische Auswertungen von Standards und Leerkernen werden zur Sicherstellung der Präzision und Genauigkeit vorgenommen. Kontrollauswertungen werden regelmäßig von SGS Lakefield Research vorgenommen. Kontrollauswertungen werden regelmäßig von SGS Lakefield Research durchgeführt. Details des QA/QC Programms sind auf der Internetseite des Unternehmens verfügbar.
Im Namen der Scorpio Mining Corp.
Peter J. Hawley
Chairman & CEO
Für den Inhalt der Pressemeldung ist allein die Gesellschaft verantwortlich. Sie wurde weder von der TSX-Venture Exchange, noch von einem Dritten geprüft. Die deutschsprachige Fassung kann gekürzt oder zusammengefasst sein. Es wird keine Verantwortung oder Haftung: für den Inhalt, für die Richtigkeit, der Angemessenheit oder der Genauigkeit dieser Übersetzung übernommen. Aus Sicht des Übersetzers stellt die Meldung keine Kauf- oder Verkaufsempfehlung dar! Bitte beachten sie die englische Originalmeldung auf www.sedar.com bzw. www.sec.gov oder auf der Firmenwebsite! (zur Meldung)
Weitere Informationen erhalten Sie bei:
Scorpio Mining Corporation
Suite 920 - 475 Howe Street
Vancouver, B.C., V6C 2B3
Telefon: (604) 678 - 9639
Fax: (604) 602 - 9640
www.scorpiomining.com
scorpio@scorpiomining.com





