Tara Gold Resources Corp. findet hohe Silbergehalte auf San Miguel
Chicago, 3. Mai 2007 (Marketwire) - Tara Gold Resources Corp. (Börsenkürzel OTC: TRGD.PK und Börse Frankfurt WKN: AOJ EFM) - im Folgenden kurz ´´die Gesellschaft´´ genannt - gibt ihren Aktionären wie auch der Öffentlichkeit die neuesten Resultate bekannt, die sich aus dem laufenden Bohrprogramm im San Miguel-Projekt ergaben. Das Projekt findet sich nahe der Stadt Temoris im mexikanischen Bundesstaat Chihuahua.Im August 2005 hatte Tara Gold Resources einen Vertrag mit Paramount Gold Mining Corp. abgeschlossen. Dieser sah den Erwerb eines Anteiles am Projekt von bis zu 70% vor, solange 2,5 Mio. US$ in dasselbe investiert, 700.000 Aktien übereignet sowie diverse weitere Zahlungen an die Gesellschaft geleistet werden.
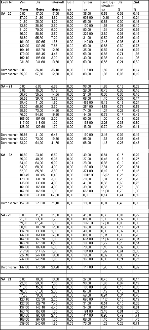
Die nachstehenden Ergebnisse stammen von fünf bereits komplettierten Bohrlöchern in der San Antonio Zone. Sie stellen fünf ´´Zwischenbohrungen´´ dar, die zwischen zwei andere, ältere Bohrungen als ´´Füller´´ gesetzt wurden. Es handelt sich hierbei um die Bohrungen SA-11 (5,4 Meter Schichtstärke mit 217 g/t Silber und 0,90 Meter mit 427 g/t Silber) wie bereits am 30. Januar 2007 gemeldet - und SA-07 (2,3 Meter mit 123 g/t Silber einschließlich 0.81% Blei / Zink), wie schon am 14. Dezember 2006 berichtet. Diese fünf Bohrlöcher überspannen eine Distanz von etwa 180 Metern mit jeweils etwa 40 bis 50 Metern Abstand zur Nachbarbohrung. Die Bohrungen wurden in einem Winkel von 55 bis 65 Grad niedergebracht, um die Erzadern besser anzuschneiden. Die wahre Breite beläuft sich daher nur auf 80% bis 90% der gemeldeten Gesamtlänge der Bohrkerne.
Alle fünf Bohrlöcher durchstießen zahlreiche hochhaltige Silbererz-Intersektionen. Die Analysen ergaben Gehalte zwischen 191 g/t bis 1.025 g/t an Silber über Schichtstärken von 0,40 und 4,8 Metern. Die hochhaltigen Adern in Kombination mit dem stockwerksähnlichem Aufbau dünnerem Aderwerkes zwischen ihnen, resultierten in Silbergehalten einschließlich Blei und Zink in Schichten von beträchtlicher Stärke, wie beispielsweise 36,1 Meter mit 113 g/t Silber; 28,2 Meter mit durchschnittlich 117 g/t Silber wie auch 0,95% Blei / Zink sowie 71,1 Meter mit durchschnittlich 19 g/t Silber mit 1,4% Blei / Zink.
Die genannten fünf Bohrlöcher mit den Bezeichnungen SA-20 bis SA-24 wurden mit der Absicht niedergebracht, mineralisierte Zonen in Tiefen von 40 bis 110 Metern zu identifizieren. Die Durchschnittstiefe betrug dabei 75 Meter von der Oberfläche aus gerechnet. Die Bohrmannschaften haben bisher die Löcher SA-20 bis SA-24 komplettiert und arbeiten derzeit an Bohrung SA-28.
Paramounts Exploration Manager für Mexiko, Herr Bill Reed, hatte hierzu folgenden Kommentar: ´´Die neuesten Resultate füllen noch verbleibende Lücken in unseren Datenbanken bezüglich der bisher komplettierten Bohrungen. Auf jeden Fall weisen die neuen ´´Füller´´-Bohrungen nach, dass die mineralisierte Zone in ihren Strukturen in durchgängiger Weise längs und auch quer zur Hauptrichtung des gesamten, im San Antonio/El Carmen Areals liegenden Vorkommens verläuft.´´
Einige Schlaglichter der Bohrergebnisse
Für weitere Details, siehe auch nachstehende Tabelle.
SA-20 hatte im Durchschnitt 36,1 Meter mit Gehalten von 0,0 bis 36,1 Meter ab Oberfläche mit 113 g/t Silber nachgewiesen, einschließlich 4,8 Meter von 17,0 bis 21,8 Meter ab Oberfläche gerechnet mit 606 g/t Silber und 3,5 Meter in einer Tiefe von 85,0 bis 88,5 Meter mit 229 g/t Silber.
SA-21 wies im Durchschnitt 5,45 Meter auf und zwar in einer Tiefe von 35,55 bis 41,0 Meter mit 190 g/t, Silber, einschließlich 1,6 Meter von 39,4 bis 41,0 Meter ab Oberfläche mit 488 g/t Silber und 3,3 Meter von 53,2 bis 56,5 Meter Tiefe mit 254 g/t Silber wie auch 1,29% kombiniertes Blei / Zink.
SA-22 durchstieß zahlreiche hochhaltige Silbererz-Intersektionen nebst angereichertem Blei- und Zinkerz; außerdem fanden sich Schichten von 3,3 Meter Stärke in einer Tiefe von 82,0 bis 85,3 Meter mit 371 g/t Silber, 0,4 Meter in einer Tiefe von 109,45 bis 109,85 Meter mit 1,015 g/t Silber, und 1,0 Meter, 167,5 bis 168,50 Meter tief, mit 365 g/t Silber, einschließlich 71,1 Meter in einer Tiefe von 157,20 bis 228,30 Meter mit durchschnittlich 19 g/t Silber sowie 1,4% Blei / Zink.
SA-23 durchschnitt eine 1,3 Meter dicke Schicht in einer Tiefe von 79,9 bis 81,2 Meter mit 1.025 g/t Silber und 28,2 Meter, zwischen 147,0 bis 175,2 Metern in der Tiefe ab Oberfläche mit durchschnittlich 117 g/t Silber sowie 0,95% Blei / Zink, einschließlich 1,8 Meter in einer Tiefe von 164,9 bis 166,7 Meter mit 664 g/t Silber und 1,9 Meter von 247,0 bis 248,9 Meter Tiefe mit 365 g/t Silber.
SA-24 schließlich stieß auf eine Schicht von 2,2 Meter Stärke in einer Tiefe von 120,1 bis 122,3 Meter ab Oberfläche mit 696 g/t Silber und 2,1 Meter von 160,5 bis 162,6 Meter mit 414 g/t Silber und auch 2,2% an kombiniertem Blei / Zink.
Qualitätskontrolle und qualifizierte Prüfperson
Paramount hält als der Betreiber des Projektes sämtliche Einzelheiten aller Bohrkerne fotographisch detailliert fest, bevor sie in der Mitte getrennt werden. Eine Hälfte wird dann in den Laboratorien der Firma ALS Chemex in Vancouver analysiert. Im Rahmen des Programms der Qualitätskontrolle (QAQC) fügt das Unternehmen eine gleich aussehende, aber völlig gehaltlose Probe in numerischer Ordnung ein. Jede 20. aller eingereichten Proben ist ein solcher ´´Leerkern´´ und das Laboratorium (im Gegensatz zu Paramount) weiß nicht, welche Probe echt und welche unecht ist, was exakte und sorgfältig ausgeführte Prüfungsmethoden garantiert.
Damit nicht genug: Bestimmte, ihrem Inhalt nach genau bekannte Proben mischt Paramount unauffällig (wie Plazebos) in bestimmter Reihenfolge unter die Menge der neu zu analysierenden Kerne, was wegen der Kontrollwirkung wiederum durchgängig exaktes Arbeiten des Labors erzwingt. Weiterhin reicht Paramount einige bereits geprüfte gehaltvolle Proben unmarkiert nochmals ein, wobei 1. und 2. Analyse dann genau übereinstimmen müssen. Die anderen (nicht analysierte) Hälften der Bohrkerne stapelt man auf dem Gelände der potentiellen Mine, um später, falls nötig, Vergleiche und Verifizierungen zu ermöglichen.
Herr C. W. (Bill) Reed, seines Zeichens Diplom-Mineraloge, agiert in diesem Zusammenhang als die qualifizierte Person, die die Einzelheiten dieser Meldung zusammengestellt und diese vor Ausgang noch einmal überprüft hat.
Tabelle: Detaillierte Ergebnisse der fünf Bohrungen

Über San Miguel
San Miguel setzt sich derzeit aus 16 Konzessionen zusammen, die in fortlaufender Grundrichtung eine etwa 8 Kilometer lange Zone von Silber- und Gold-Mineralisation aufweisen. Die Konzessionen schließen auch noch andere strukturelle Zonen mit Mineralisationen ein, die jedoch bisher noch nicht getestet werden konnten. Das Vorkommen liegt im mexikanischen Bundesstaat Chihuahua, genauer, im Guazapares Minen - Distrikt. Dieser wiederum ist Teil des Gold- und Silber-Gürtels der Sierra Madre Occidental.
Paramount hatte im August 2005 einen Vertrag mit Amermin S.A. de CV abgeschlossen. Hierbei handelt es sich um eine Tochterfirma von Tara Gold Resources. Der Partner hat mittlerweile einen Anteil von 70% am Eigentum des San Miguel Projektes erworben.
Über Tara Gold Resources Corp.
Tara Gold Resources Corp. ist ein im Explorations- und Entwicklungsbereich aktives wachstumsorientiertes Unternehmen der Edelmetall-Branche mit bereits laufender Produktion. Die leitende Zielstellung des Managements besteht im Streben, zu einem bedeutenden Produzenten von Edelmetall - und hier ganz besonders Gold - aufzusteigen. Dies soll insbesondere durch die Ausweitung der gegenwärtig laufenden Produktion von La Currita, die Wiederaufnahme bergbautechnischer Produktion von Lluvia de Oro und Picacho, wie auch durch die Weiterentwicklung der Projekte von San Miguel, La Millonaria, Pilar De Mocoribo und Las Minitas in Mexiko erreicht werden. Außerdem werden wir fortfahren, Projekte im fortgeschrittenen Stadium und / oder bereits produzierende Minen im Bereich eines der am reichlichsten mit Edelmetallen gesegneten Gebiete der Welt zu akquirieren. Für weitere Informationen besuchen Sie bitte die Webseite der Gesellschaft unter www.TaraGoldResources.com
Safe Harbor Statement unter dem Gesetz ´´Private Securities Litigation Reform Act´´ von 1995: Die Feststellungen dieser Veröffentlichung sind - sofern sie nicht historischen Charakters haben - in die Zukunft gerichtet und unterliegen somit Risiken und Unsicherheiten. Diese wiederum können bewirken, dass die sich später ergebenden wirklichen Resultate von denjenigen Feststellungen, die hier mit Zukunftsbezug genannt wurden, deutlich abweichen. Dies schließt unter anderem auch bestimmte Verzögerungen in der Entwicklung ein, die die Gesellschaft nicht beeinflussen kann. Hier wären beispielsweise zu nennen: Markt-Akzeptanz neuer Technologien oder neuartiger Produkte, Verzögerungen von Tests oder von Bewertungs- und Auswertungs-Prozessen von Produkten wie auch andere Risiken. Diese werden von Zeit zu Zeit in den an die Securities and Exchange Commission gerichteten offiziellen Berichten detailliert dargestellt.
Für den Inhalt der Pressemeldung ist allein die Gesellschaft verantwortlich. Sie wurde weder von der Börse, noch von einem Dritten geprüft. Die deutschsprachige Fassung kann gekürzt oder zusammengefasst sein. Es wird keine Verantwortung oder Haftung: für den Inhalt, für die Richtigkeit, der Angemessenheit oder der Genauigkeit dieser Übersetzung übernommen. Aus Sicht des Übersetzers stellt die Meldung keine Kauf- oder Verkaufsempfehlung dar! Bitte beachten sie die englische Originalmeldung auf www.sedar.com bzw. www.sec.gov oder auf der Firmenwebsite! (zur Meldung)
Weitere Informationen erhalten Sie bei:
Tara Gold Resources Corp.
www.TaraGoldResources.com
E-Mail: president@taragoldresources.com
E-Mail IR: angie@taragoldresources.com
Tel. Unternehmenssitz: 001-630-462-2079
Tel. Investor Relations: 001-630-551-7802
Investor Relations: 317-218-0204
Investor Relations Webseite: www.sfpindy.com




