Scorpio Mining Corp. meldet gute Ergebnisse von der Nuestra Senora Lagerstätte
Scorpios Untergrundbohrungen auf Ebene 9 der Nuestra Senora Lagerstätte treffen auf 1.269 g/t Silber, 17,03% Zink, 4,77% Kupfer, 6,57% Blei und 0,377 g/t Gold über 3,2 mVancouver, 20. August 2007. Scorpio Mining Corp. (TSX: SPM, WKN: 121 237) freut sich, weitere Untergrund-Bohrergebnisse aus Ebene 9 des zu 100% im Eigentum befindlichen Nuestra Senora Projekt im mexikanischen Bundesstaat Sinaloa melden zu können.
Peter J. Hawley, Chairman und CEO, kommentiert: “Die Definitionsbohrungen auf Ebene 9 der Nuestra Senora Lagerstätte korrelieren gut mit den jüngst gemeldeten Bohrergebnissen von den Ebenen 8 und 10 (vgl. Pressemeldung vom 10. Juli und 13. August 2007). Die Ergebnisse bestätigen weiter die Kontinuität mehrerer mineralisierter Zonen und werden eine weitere Minenplanung und zukünftige Aufstufung der Ressourcen ermöglichen. In der Zwischenzeit setzt das Unternehmen fort, seine Vor-Produktionsaktivitäten zu beschleunigen, darunter die unterirdischen Minenentwicklung und der Bau der Verarbeitungsanlage.“
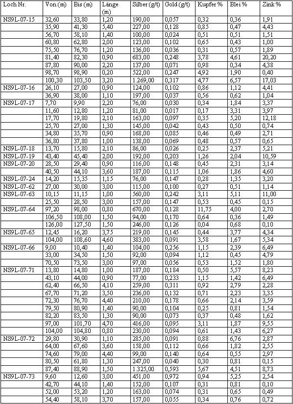
Tabelle 1: Untergrund-Bohrergebnisse Ebene 9 - Nuestra Senora

Die Bohrdaten in der Tabelle stellen senkrechte Kernlängen und ungeschnittene Gehalte dar. Die wahren Breiten können zu diesem Zeitpunkt nicht verläßlich geschätzt werden. Weitere Informationen über das Unternehmen und das Nuestra Senora Projekt sind auf der Webseite von Scorpio Mining unter www.scorpiomining.com verfügbar.
Roger Scammel, Präsident der Scorpio Mining Corporation, ist die qualifizierte Person des Unternehmens für das Nuestra Senora Projekt. Herr Scammel ist verantwortlich für die laufende Explorations- und Entwicklungsprogramm und hat den Inhalt dieser Meldung überprüft. Alle technischen Informationen über das Nuestra Senora Projekt werden unter Beachtung des Qualitätssicherungs- und -kontrollprogramms (UA/QC) veröffentlicht. Die Proben wurden an die ALS Chemex Laboratorien in Hermosillo, Mexiko, zum Trocknen, Mahlen und Pulverisieren geschickt. ALS Chemex aus Hermosillo schickt das Pulver dann per Luftpost zu ALS Chemex in Vancouver zur Auswertung. Systematische Auswertungen von Standards und Leerkernen werden zur Sicherstellung der Präzision und Genauigkeit vorgenommen. Kontrollauswertungen werden regelmäßig von SGS Lakefield Research vorgenommen. Kontrollauswertungen werden regelmäßig von SGS Lakefield Research durchgeführt. Details des QA/QC Programms sind auf der Internetseite des Unternehmens verfügbar.
Im Namen der Scorpio Mining Corp.
Peter J. Hawley
Chairman & CEO
Für den Inhalt der Pressemeldung ist allein die Gesellschaft verantwortlich. Sie wurde weder von der TSX-Venture Exchange, noch von einem Dritten geprüft. Die deutschsprachige Fassung kann gekürzt oder zusammengefasst sein. Es wird keine Verantwortung oder Haftung: für den Inhalt, für die Richtigkeit, der Angemessenheit oder der Genauigkeit dieser Übersetzung übernommen. Aus Sicht des Übersetzers stellt die Meldung keine Kauf- oder Verkaufsempfehlung dar! Bitte beachten sie die englische Originalmeldung auf www.sedar.com bzw. www.sec.gov oder auf der Firmenwebsite! (zur Meldung)
Weitere Informationen erhalten Sie bei:
Scorpio Mining Corporation
Suite 920 - 475 Howe Street
Vancouver, B.C., V6C 2B3
Telefon: (604) 678 - 9639
Fax: (604) 602 - 9640
www.scorpiomining.com
scorpio@scorpiomining.com





