Scorpio Mining Corporation meldet gute Bohrergebnisse von der Nuestra Senora Lagerstätte
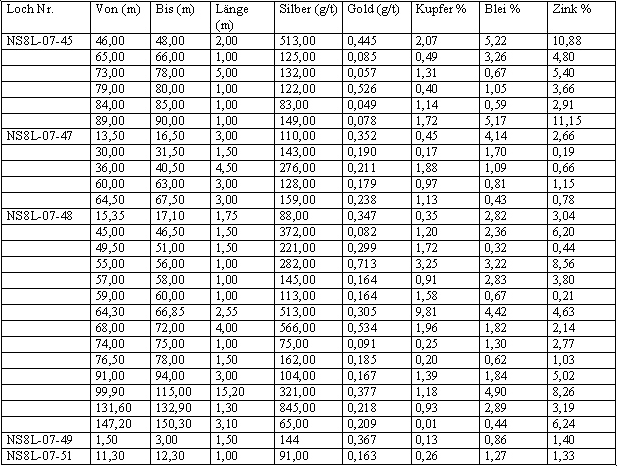
Scorpios Bohrungen auf Ebene 8 der Nuestra Senora Lagerstätte erbringen über 15,20 m 321 g/t Silber, 8,26% Zink, 1,18% Kupfer, 4,90% Blei und 0,377 g/t Gold, gefolgt von 845 g/t Silber, 3,19% Zink, 0,93% Kupfer, 2,89% Blei und 0,218 g/t Gold über 1,30 m in der gleichen Bohrung Vancouver, 10. Juli 2007. Scorpio Mining Corp. (TSX: SPM, WKN: 121 237) freut sich, weiter Untergrund-Bohrergebnisse aus Ebene 8 der zu 100% im Eigentum befindlichen Nuestra Senora Lagerstätte im Bundesstaat Sinaloa, Mexiko, melden zu können.
Peter J. Hawley, Chairman und CEO, kommentiert: "Die Definitionsbohrungen von Nuestra Senora gehen zügig auf den Ebenen 8, 9 und 10 voran. Die Ergebnisse bis dato bestätigen die Kontinuität der Lagerstätte und ihr Potential für Erweiterungen. Sie ermöglichen auch eine weitere Minenplanung hinsichtlich einer zukünftigen Vergrößerung der Produktion sowie eine Aufstufung der Ressourcen in Reserven in dem Gebiet. Wir beschleunigen die unterirdische Entwicklung und den Bau der Verarbeitungsanlage, um den Zeitplan für die Produktion im nächsten Jahr einzuhalten."
Tabelle 1: Untergrund-Bohrergebnisse Ebene 8 - Nuestra Senora

Die Bohrdaten in der Tabelle stellen senkrechte Kernlängen und ungeschnittene Gehalte dar. Die wahren Breiten können zu diesem Zeitpunkt nicht verläßlich geschätzt werden. Eine Karte mit den Oberflächenbohrungen der Santa Teresa Lagerstätte sowie weitere Informationen über das Unternehmen und das Nuestra Senora Projekt sind auf der Webseite von Scorpio Mining unter www.scorpiomining.com verfügbar.
Roger Scammel, Präsident der Scorpio Mining Corporation, ist die qualifizierte Person des Unternehmens für das Nuestra Senora Projekt. Herr Scammel ist verantwortlich für die laufende Explorations- und Entwicklungsprogramm und hat den Inhalt dieser Meldung überprüft. Alle technischen Informationen über das Nuestra Senora Projekt werden unter Beachtung des Qualitätssicherungs- und -kontrollprogramms (UA/QC) veröffentlicht. Die Proben wurden an die ALS Chemex Laboratorien in Hermosillo, Mexiko, zum Trocknen, Mahlen und Pulverisieren geschickt. ALS Chemex aus Hermosillo schickt das Pulver dann per Luftpost zu ALS Chemex in Vancouver zur Auswertung. Systematische Auswertungen von Standards und Leerkernen werden zur Sicherstellung der Präzision und Genauigkeit vorgenommen. Kontrollauswertungen werden regelmäßig von SGS Lakefield Research vorgenommen. Kontrollauswertungen werden regelmäßig von SGS Lakefield Research durchgeführt. Details des QA/QC Programms sind auf der Internetseite des Unternehmens verfügbar.
Im Namen der Scorpio Mining Corp.
Peter J. Hawley
Chairman & CEO
Für den Inhalt der Pressemeldung ist allein die Gesellschaft verantwortlich. Sie wurde weder von der TSX-Venture Exchange, noch von einem Dritten geprüft. Die deutschsprachige Fassung kann gekürzt oder zusammengefasst sein. Es wird keine Verantwortung oder Haftung: für den Inhalt, für die Richtigkeit, der Angemessenheit oder der Genauigkeit dieser Übersetzung übernommen. Aus Sicht des Übersetzers stellt die Meldung keine Kauf- oder Verkaufsempfehlung dar! Bitte beachten sie die englische Originalmeldung auf www.sedar.com bzw. www.sec.gov oder auf der Firmenwebsite! (zur Meldung)
Weitere Informationen erhalten Sie bei:
Scorpio Mining Corporation
Suite 920 - 475 Howe Street
Vancouver, B.C., V6C 2B3
Telefon: (604) 678 - 9639
Fax: (604) 602 - 9640
www.scorpiomining.com
scorpio@scorpiomining.com





